Cara dan Solusi SOAL DAN PEMBAHASAN FLUIDA STATIS
soal dan pembahasan FLUIDA STATIS (sub bab: hukum Archimedes, hukum pascal dan tekanan hidrostatis)
1. Gaya Archimedes yang bekerja pada benda saat dimasukkan ke dalam fluida ditentukan oleh ….
a. massa benda dan keadaan benda di cairan
b. volume benda dan keadaan benda di cairan
c. volume benda dan massa jenis cairan
d. massa benda dan massa jenis
e. massa cairan dan kedalaman benda di cairan
JAWAB: C
Pembahasan:
sesuai dengan rumus gaya archimedes:
F = ρ.g.Vbenda yang tercelup
F = gaya archimedes
ρ = massa jenis benda
Vbenda yang tercelup = volume banda yang tercelup di dalam fluida/ cairan
2. Sepotong besi bermassa 4 kg dan massa jenisnya 8 gr/cm³ dimasukkan ke dalam air yang massa jenisnya 1 gr/ cm³. Di dalam air berat besi tersebut seolah-olah akan hilang sebesar ....
a. 5 N c. 20 N e. 40 N
b. 15 N d. 35 N
JAWAB: D
berat yang seakan-akan hilang = berat benda - gaya archimedes
= m.g - ρ.g.Vbenda yang tercelup
= 4.10 - 1000.10.(4/8000)
= 40 - 5
= 35 N
3. Sepotong kaca di udara memiliki berat 25 N. Jika dimasukkan ke dalam air beratnya menjadi 15 N. Bila massa jenis air adalah 10³ kg/m³ dan percepatan gravitasinya 10 m/s² maka massa jenis kaca adalah ....
a. 1,5. 10³ kg/m³
b. 2,5. 10³ kg/m³
c. 3,5. 10³ kg/m³
d. 4,5. 10³ kg/m³
e. 5,5. 10³ kg/m³
JAWAB: B
Pembahasan:
Gaya Archimedes = berat di udara - berat di air
FA = Wdiudara – W di fluida
ρ.g.Vbenda yang tercelup = 25 - 15
1000.10.V = 10
V = 10-3
---------------------------------------------------------------
ρ = m/v
ρ = 2,5/10-3
ρ = 2,5.103 kg/m³
4. Sebuah gabus dimasukkan dalam air ternyata 75 % volume gabus tercelup dalam air, maka massa jenis gabus adalah ….
a. 1,75 gr/c³ d. 0,50 gr/ cm³
b. 1,00 gr/c³ e. 0,25 gr/ cm³
c. 0,75 gr/cm³
JAWAB: C
ρ(air).g.V(benda yang tercelup) = ρ (benda).g.V (benda)
1000 . 10 . 0,75 V = ρ . 10 . V
ρ = 750 kg/m³ = 0,75 gr/cm³
5. Sebuah ban mobil berisi udara digunakan sebagai pengapung di dalam air, volume ban 0,1 m³ dan massanya 1 kg. jika massa jenis air 1 gr/cm³ dan percepatan gravitasi g = 10 m/s², maka ban dapat menahan dan mengapungkan beban maksimum sebesar ….
a. 1001 kg d. 100 kg
b. 1000 kg e. 99 kg
c. 101 kg
JAWAB : E
gaya achimedes air = berat ban + berat beban
ρ.g.V = m.g + m.g
1000 . 0,1 = 1 + m
6. Alat yang bukan merupakan penerapan hukum Archimedes adalah …
a. kapal laut
b. galangan kapal
c. balon udara
d. hidrometer
e. semprot obat nyamuk
JAWAB : E
Pembahasan:
Semprot obat nyamuk menggunakan prinsip Bernaulli
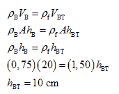
7. Balok yang tingginya 20 cm dan memiliki massa jenis 0,75 gram/cm3 mengapung di atas zat cair yang memiliki massa jenis 1,5 gram/cm3. Tinggi balok yang berada di permukaan zat cair adalah ….
A. 5 cm
B. 10 cm
C. 12 cm
D. 15 cm
E. 20 cm
Jawaban: B
Pembahasan:
Diketahui
Ditanyakan: hmuncul
Jawab:
Tinggi balok yang muncul:
Jadi, tinggi balok yang muncul adalah 10 cm.
8. Sebuah benda mengapungdi atas air dengan massa jenis air 1 gram/cm3. Jika 7/10 bagian dari benda berada di bawah permukaan air, maka massa jenis benda adalah … gram/cm3.
A. 0,5
B. 0,6
C. 0,7
D. 0,8
E. 1,3
Jawaban: C
Diketahui:
Ditanyakan: ρB
Jawab:
Jadi, massa jenis benda adalah 0,7 gram/cm3.
9. Balok yang tingginya 40 cm dan massa jenisnya 0,75 gram cm-3 mengapung di atas zat cair yang massa jenisnya 1,5 gram cm-3, maka tinggi balok yang muncul di permukaan zat cair adalah ….
A. 10 cm
B. 20 cm
C. 40 cm
D. 60 cm
E. 80 cm
Jawaban: B
Diketahui:
Ditanyakan: hmuncul ?
Jawab:
Ketinggian balok yang tercelup di dalam zat cair dapat ditentukan dengan perhitungan berikut.
Tinggi balok yang muncul di atas permukaan zat cair dapat ditentukan dengan perhitungan:
Jadi, tinggi balok yang muncul di permukaan zat cair adalah 20 cm.
10. Gambar di bawah ini menunjukkan sebuah tabung U yang berisi zat cair dan diberi pengisap (berat dan gesekan diabaikan). Agar pengisap tetap seimbang , maka beban F2 yang harus diberikan adalah ....

a. 150 N
b. 400 N
c. 600 N
d. 1200 N
e. 2400 N
jawab: C10. Gambar di bawah ini menunjukkan sebuah tabung U yang berisi zat cair dan diberi pengisap (berat dan gesekan diabaikan). Agar pengisap tetap seimbang , maka beban F2 yang harus diberikan adalah ....
a. 150 N
b. 400 N
c. 600 N
d. 1200 N
e. 2400 N
pembahasan:
dengan hukum pascal
F1/F2 = A1 / A2
20/F2 = 30/900
F2 = 600 N